Chapter 1 1 Matrices And Determinants Math 9th Class Kpk MCQ Tests
9th Class Math Chapter 1 MCQ Tests
Chapter 1 of 9th Class Math has 38 questions. If you take an online MCQ test, the system will randomly choose the questions. If you want to take the quiz by chapter then click the start test button.
Total Questions: 38
Total Marks: 38
Time: 40 Mins
Total Questions: 38
Total Marks: 38
Time: 40 Mins
40Min : 00 Sec Remaining
Question # 1
Which of the following matrices is not an Additive Inverse of:
Question # 2
If order of A is 3 × 5 and order of B is 5 × 7 , then what is the order of A B ?
Question # 3
Use Cramer's rule to solve the system:
Question # 4
Find a , b , c , d.
Question # 5
Find the adjoint of the following matrix:
Question # 6
Identify the Rectangular Matrix.
Question # 7
If a matrix A is of order 2-by-3, then order of its transpose At is
Question # 8
The revenue generated by sales in the Vancouver and Quebec branches of the A -Plus auto parts store was as follows. If the Canadian dollar was worth $ 0.65 U.S. at the time, compute the revenue in U.S. dollars.
Question # 9
For a skew symmetric odd ordered matrix A of integers, which of the following will hold true?
Question # 10
Question # 11
Question # 12
Find the Adjoint of:
Question # 13
A fast food restaurant sells pies that come in three different flavors: apple, banana, and chocolate and two different sizes: large and small. Below are two tables summarizing the total sales of the fast food restaurant between last week and this week: Write transpose of a matrix which represent the sales of last week.
Question # 14
Solve the simultaneous equations, x + 2 y = 4 ; 3 x − 5 y = 1.
Question # 15
Which of the following is a matrix?
Question # 16
A(B ˖ C)=AB ˖ AC
Question # 17
Find Value:
Question # 18
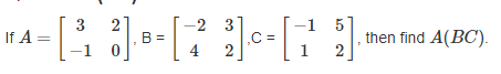
Find the Value of A(BC).
Question # 19
Question # 20
Which of the following matrices is Additive Identity Matrix?
Question # 21
Determine which matrix is singular.
Question # 22
What is the order of the given matrix?
Question # 23
Solve the following set of simultaneous equations using the inverse matrix method, 5 x + y = 13 ; 3 x + 2 y = 5 .
Question # 24
The first table below show the points awarded by judges at a state fair for a crafts contest for Brielle, Bryn and Briana. The second table shows the multiplier used for the degree of difficulty for each of the pieces the girls created. Find the total score for each of the girls in this contest.
Question # 25
Solve:
Question # 26
Find the values of
x
,
y
and
z
, if
Question # 27
Simplify it:
Question # 28
Question # 29
Kala Khan restaurant has three kinds of set meals: Set meal 1, Set meal 2 and Set meal 3. And it provides different services to Males as given below.
Question # 30
Question # 31
Find the determinant of the following matrix:
Question # 32
Simplify:
Question # 33
Transpose of column matrix is called _____ matrix.
Question # 34
Law which does not hold in multiplication of matrices is known as:
Question # 35
Find the values of x , y and z , if:
Question # 36
Check whether the matrix A is symmetric or not.
Question # 37
Question # 38
Total Questions
1234567891011121314151617181920212223242526272829303132333435363738
Question # 1
Which of the following matrices is not an Additive Inverse of:
Question # 2
If order of A is 3 × 5 and order of B is 5 × 7 , then what is the order of A B ?
Question # 3
Use Cramer's rule to solve the system:
Question # 4
Find a , b , c , d.
Question # 5
Find the adjoint of the following matrix:
Question # 6
Identify the Rectangular Matrix.
Question # 7
If a matrix A is of order 2-by-3, then order of its transpose At is
Question # 8
The revenue generated by sales in the Vancouver and Quebec branches of the A -Plus auto parts store was as follows. If the Canadian dollar was worth $ 0.65 U.S. at the time, compute the revenue in U.S. dollars.
Question # 9
For a skew symmetric odd ordered matrix A of integers, which of the following will hold true?
Question # 10
Question # 11
Question # 12
Find the Adjoint of:
Question # 13
A fast food restaurant sells pies that come in three different flavors: apple, banana, and chocolate and two different sizes: large and small. Below are two tables summarizing the total sales of the fast food restaurant between last week and this week: Write transpose of a matrix which represent the sales of last week.
Question # 14
Solve the simultaneous equations, x + 2 y = 4 ; 3 x − 5 y = 1.
Question # 15
Which of the following is a matrix?
Question # 16
A(B ˖ C)=AB ˖ AC
Question # 17
Find Value:
Question # 18
Find the Value of A(BC).
Question # 19
Question # 20
Which of the following matrices is Additive Identity Matrix?
Question # 21
Determine which matrix is singular.
Question # 22
What is the order of the given matrix?
Question # 23
Solve the following set of simultaneous equations using the inverse matrix method, 5 x + y = 13 ; 3 x + 2 y = 5 .
Question # 24
The first table below show the points awarded by judges at a state fair for a crafts contest for Brielle, Bryn and Briana. The second table shows the multiplier used for the degree of difficulty for each of the pieces the girls created. Find the total score for each of the girls in this contest.
Question # 25
Solve:
Question # 26
Find the values of
x
,
y
and
z
, if
Question # 27
Simplify it:
Question # 28
Question # 29
Kala Khan restaurant has three kinds of set meals: Set meal 1, Set meal 2 and Set meal 3. And it provides different services to Males as given below.
Question # 30
Question # 31
Find the determinant of the following matrix:
Question # 32
Simplify:
Question # 33
Transpose of column matrix is called _____ matrix.
Question # 34
Law which does not hold in multiplication of matrices is known as:
Question # 35
Find the values of x , y and z , if:
Question # 36
Check whether the matrix A is symmetric or not.
Question # 37
Question # 38
Total Questions
1234567891011121314151617181920212223242526272829303132333435363738
Math MCQ Test by Topics
- +1.1 Definition of a Matrix
- +1.2 Types of Matrices
- +1.3 Addition and Subtraction of Matrices
- +1.4 Multiplication of Two Matrices
- +1.5 Multiplicative Inverse of a Matrix
- +1.6 Solution of Simultaneous Linear Equations
Math
- 1. Matrices and Determinants
- Real and Complex Numbers
- Logarithms
- Algebraic Expressions and Algebraic Formulas
- Factorization
- Algebraic Manipulation
- Linear Equations and Inequalities
- Linear Graphs Their Applications
- Introduction to Coordinate Geometry
- Descriptive Geometry Congruent Triangles
- Parallelograms and Triangles
- Line Bisectors and Angle Bisectors
- Sides and Angles of a Triangle
- Ratio and Proportion
- Pythagoras Theorem
- Theorems Related with Area
- Practical Geometry-Triangles
9th Class Kpk MCQ Tests
9th Class Online Classes 2026
Updated on: 20-04-2026
9th Class Online Preparation
9th Class 2026 Online
9th Class 2026
Add a Comment
Comments will be shown after admin approval.
Spam comments will not be approved at all.
Matric Result 2026 Punjab
10th Class Result 2026 Punjab
9th Class Result 2026 Punjab Boards
10th Class Result Gazette 2026 Punjab
Punjab Past Papers Matric 9th 10th
Primary Results 5th & 8th Class
BISE Results Intermediate & Matric
BISE Punjab Boards
Sindh Educational Boards
KPK Examination Boards
Technical Boards
Public Service Commission
University Results Gruaduation, Masters Classes
Subscribe by Email
Subscribe by Email
Position Holders Matric 2026
Position Holders 9th Class 2026
Position Holders Inter 2026
Position Holders 11th Class 2026
Kpk 9th Class Math









