Chapter 4 Algebraic Expressions And Algebraic Formulas Math 9th Class Kpk MCQ Tests
9th Class Math Chapter 4 MCQ Tests
Chapter 4 of 9th Class Math has 31 questions. If you take an online MCQ test, the system will randomly choose the questions. If you want to take the quiz by chapter then click the start test button.
Total Questions: 31
Total Marks: 31
Time: 35 Mins
Total Questions: 31
Total Marks: 31
Time: 35 Mins
35Min : 00 Sec Remaining
Question # 1
is in its:
Question # 2
Rationalize the denominator:
Question # 3
a 3˗b 3 is equal to ________.
Question # 4
Evaluate the following surd: √ 9.81 × 4.23 ÷ 55.36 .
Question # 5
Conjugate of surd a - (b) 1/2 is _________.
Question # 6
Translate the algebraic expression into statement: y + 10.
Question # 7
3√7 is ______ order surd.
Question # 8
The given algebraic expression is written in descending order:
Question # 9
Question # 10
Is a perfect square trinomial?
Question # 11
Subtract 2√45 from 4√20.
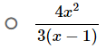
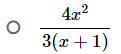
Question # 12
Solve
Question # 13
Solve: ( 1 + √5 ) ( 2 + √3 ).
Question # 14
(3+√3)(3-√3)
Question # 15
Simplify the equation:
Question # 16
Question # 17
An irrational radical with rational radicand is called a __________.
Question # 18
What is the degree of the polynomial:
Question # 19
What is the additive inverse of?
Question # 20
A large rectangular card has a length of ( √ 5 + √ 20 ) c m and a width of √ 8 c m . A small rectangle of length √ 5 c m and width √ 2 c m is cut out of the piece of card. Express the area of the card left as a percentage of the large rectangle.
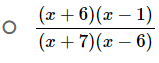
Question # 21
Rationalize:
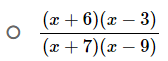
Question # 22
Factorize:
Question # 23
Simplify
Question # 24
Simplify:
Question # 25
The degree of polynomial 4x 3+2x 2y is ___________.
Question # 26
3x + 2y - 1 is an algebraic _________.
Question # 27
Question
Question # 28
(a+b)2
Question # 29
is in its:The quotient pxq(x) of two polynomials p(x) and q(x), Where q(x) is a non-zero polynomial, is called a _________.
Question # 30
Find the product of 2√5 × 3√3.
Question # 31
Rationalize the:
Total Questions
12345678910111213141516171819202122232425262728293031
Question # 1
is in its:
Question # 2
Rationalize the denominator:
Question # 3
a 3˗b 3 is equal to ________.
Question # 4
Evaluate the following surd: √ 9.81 × 4.23 ÷ 55.36 .
Question # 5
Conjugate of surd a - (b) 1/2 is _________.
Question # 6
Translate the algebraic expression into statement: y + 10.
Question # 7
3√7 is ______ order surd.
Question # 8
The given algebraic expression is written in descending order:
Question # 9
Question # 10
Is a perfect square trinomial?
Question # 11
Subtract 2√45 from 4√20.
Question # 12
Solve
Question # 13
Solve: ( 1 + √5 ) ( 2 + √3 ).
Question # 14
(3+√3)(3-√3)
Question # 15
Simplify the equation:
Question # 16
Question # 17
An irrational radical with rational radicand is called a __________.
Question # 18
What is the degree of the polynomial:
Question # 19
What is the additive inverse of?
Question # 20
A large rectangular card has a length of ( √ 5 + √ 20 ) c m and a width of √ 8 c m . A small rectangle of length √ 5 c m and width √ 2 c m is cut out of the piece of card. Express the area of the card left as a percentage of the large rectangle.
Question # 21
Rationalize:
Question # 22
Factorize:
Question # 23
Simplify
Question # 24
Simplify:
Question # 25
The degree of polynomial 4x 3+2x 2y is ___________.
Question # 26
3x + 2y - 1 is an algebraic _________.
Question # 27
Question
Question # 28
(a+b)2
Question # 29
is in its:The quotient pxq(x) of two polynomials p(x) and q(x), Where q(x) is a non-zero polynomial, is called a _________.
Question # 30
Find the product of 2√5 × 3√3.
Question # 31
Rationalize the:
Total Questions
12345678910111213141516171819202122232425262728293031
Math MCQ Test by Topics
Math
- 1. Matrices and Determinants
- Real and Complex Numbers
- Logarithms
- Algebraic Expressions and Algebraic Formulas
- Factorization
- Algebraic Manipulation
- Linear Equations and Inequalities
- Linear Graphs Their Applications
- Introduction to Coordinate Geometry
- Descriptive Geometry Congruent Triangles
- Parallelograms and Triangles
- Line Bisectors and Angle Bisectors
- Sides and Angles of a Triangle
- Ratio and Proportion
- Pythagoras Theorem
- Theorems Related with Area
- Practical Geometry-Triangles
9th Class Kpk MCQ Tests
9th Class Online Classes 2026
Updated on: 20-04-2026
9th Class Online Preparation
9th Class 2026 Online
9th Class 2026
Add a Comment
Comments will be shown after admin approval.
Spam comments will not be approved at all.
Matric Result 2026 Punjab
10th Class Result 2026 Punjab
9th Class Result 2026 Punjab Boards
10th Class Result Gazette 2026 Punjab
Punjab Past Papers Matric 9th 10th
Primary Results 5th & 8th Class
BISE Results Intermediate & Matric
BISE Punjab Boards
Sindh Educational Boards
KPK Examination Boards
Technical Boards
Public Service Commission
University Results Gruaduation, Masters Classes
Subscribe by Email
Subscribe by Email
Position Holders Matric 2026
Position Holders 9th Class 2026
Position Holders Inter 2026
Position Holders 11th Class 2026
Kpk 9th Class Math









