Chapter 2 Real And Complex Numbers Math 9th Class Kpk MCQ Tests
9th Class Math Chapter 2 MCQ Tests
Chapter 2 of 9th Class Math has 43 questions. If you take an online MCQ test, the system will randomly choose the questions. If you want to take the quiz by chapter then click the start test button.
Total Questions: 43
Total Marks: 43
Time: 45 Mins
Total Questions: 43
Total Marks: 43
Time: 45 Mins
45Min : 00 Sec Remaining
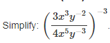
Question # 1
Simplify
Question # 2
The property that says: If a < b and b < c , then a < c or If a > b and b > c , then a > c is known as:
Question # 3
Name the property used in the equation 5 + 6ι = 5 + 6ι.
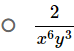
Question # 4
Question # 5
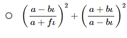
Simplify:-
Question # 6
Use the following property:
Question # 7
The Symbol ∀ means:
Question # 8
Question # 9
5 + 9 = 14 , so 9 + 5 = ?
Question # 10
Grandpa\'s square garden has an area of 130 meters. The length of one side of his garden is between what two whole numbers.
Question # 11
What is the additive inverse of:
Question # 12
Evaluate ( 3 + 4 ι ) ( 3 − 4 ι ).
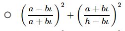
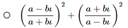
Question # 13
Question # 14
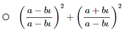
Evaluate:
Question # 15
What are the real and imaginary parts of the following complex number, 2 + 0ι ?
Question # 16
Which of the following expressions is equal to 4 − 7 ι?
Question # 17
Which is the pure imaginary number in the following complex numbers?
Question # 18
Question # 19
What is the value of n in?
Question # 20
Evaluate ( 3 − 5 ι ) + ( − 4 + 7 ι ).
Question # 21
Two bowls and three plates cost $ 1421 . The cost of the plate is half the cost of the bowl. What is the cost of the bowl?
Question # 22
a + b = b + a
Question # 23
Question # 24
Laws of exponents are ___________.
Question # 25
Question # 26
Solve
Question # 27
The equation of height h = − 100t2 + h 0 describes an object\'s height in meters above the ground t seconds after it\'s dropped from a starting height of h 0 . Sarah throws a rock from the top of a hill, which measures 900 m in height. How long does it take the rock to reach the ground?
Question # 28
If we include __________ in the set of natural number, the resulting set is the set of whole numbers, denoted by _________.
Question # 29
Solve for x , if x − 3 = 5.
Question # 30
Which of the given statements is true?
Question # 31
Express in standard form.
Question # 32
Additive Inverse of 3 is __________.
Question # 33
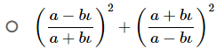
Solve the:
Question # 34
The decimal representations of rational numbers are of two types, _______ and ________.
Question # 35
Which number is shown in the graph?
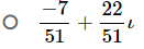
Question # 36
Calculate the conjugate complex number of z =
Question # 37
Convert 12.3454545 … into rational fraction.
Question # 38
Question # 39
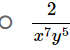
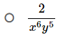
Simplify the:
Question # 40
What is the imaginary part of the following complex number, − 10 + 44ι ?
Question # 41
Find the value of x , where 9x = 81 .
Question # 42
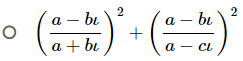
Solve:
Question # 43
Check whether 1 by 4 is a terminating or non- terminating decimal.
Total Questions
12345678910111213141516171819202122232425262728293031323334353637383940414243
Question # 1
Simplify
Question # 2
The property that says: If a < b and b < c , then a < c or If a > b and b > c , then a > c is known as:
Question # 3
Name the property used in the equation 5 + 6ι = 5 + 6ι.
Question # 4
Question # 5
Simplify:-
Question # 6
Use the following property:
Question # 7
The Symbol ∀ means:
Question # 8
Question # 9
5 + 9 = 14 , so 9 + 5 = ?
Question # 10
Grandpa\'s square garden has an area of 130 meters. The length of one side of his garden is between what two whole numbers.
Question # 11
What is the additive inverse of:
Question # 12
Evaluate ( 3 + 4 ι ) ( 3 − 4 ι ).
Question # 13
Question # 14
Evaluate:
Question # 15
What are the real and imaginary parts of the following complex number, 2 + 0ι ?
Question # 16
Which of the following expressions is equal to 4 − 7 ι?
Question # 17
Which is the pure imaginary number in the following complex numbers?
Question # 18
Question # 19
What is the value of n in?
Question # 20
Evaluate ( 3 − 5 ι ) + ( − 4 + 7 ι ).
Question # 21
Two bowls and three plates cost $ 1421 . The cost of the plate is half the cost of the bowl. What is the cost of the bowl?
Question # 22
a + b = b + a
Question # 23
Question # 24
Laws of exponents are ___________.
Question # 25
Question # 26
Solve
Question # 27
The equation of height h = − 100t2 + h 0 describes an object\'s height in meters above the ground t seconds after it\'s dropped from a starting height of h 0 . Sarah throws a rock from the top of a hill, which measures 900 m in height. How long does it take the rock to reach the ground?
Question # 28
If we include __________ in the set of natural number, the resulting set is the set of whole numbers, denoted by _________.
Question # 29
Solve for x , if x − 3 = 5.
Question # 30
Which of the given statements is true?
Question # 31
Express in standard form.
Question # 32
Additive Inverse of 3 is __________.
Question # 33
Solve the:
Question # 34
The decimal representations of rational numbers are of two types, _______ and ________.
Question # 35
Which number is shown in the graph?
Question # 36
Calculate the conjugate complex number of z =
Question # 37
Convert 12.3454545 … into rational fraction.
Question # 38
Question # 39
Simplify the:
Question # 40
What is the imaginary part of the following complex number, − 10 + 44ι ?
Question # 41
Find the value of x , where 9x = 81 .
Question # 42
Solve:
Question # 43
Check whether 1 by 4 is a terminating or non- terminating decimal.
Total Questions
12345678910111213141516171819202122232425262728293031323334353637383940414243
Math MCQ Test by Topics
- +2.1 Real Numbers
- +2.2 Properties of Real Numbers
- +2.3 Radicals and Radicands
- +2.4 Laws of Exponents/Indices
- +2.5 Complex Numbers
- +2.6 Operations on Complex Numbers
Math
- 1. Matrices and Determinants
- Real and Complex Numbers
- Logarithms
- Algebraic Expressions and Algebraic Formulas
- Factorization
- Algebraic Manipulation
- Linear Equations and Inequalities
- Linear Graphs Their Applications
- Introduction to Coordinate Geometry
- Descriptive Geometry Congruent Triangles
- Parallelograms and Triangles
- Line Bisectors and Angle Bisectors
- Sides and Angles of a Triangle
- Ratio and Proportion
- Pythagoras Theorem
- Theorems Related with Area
- Practical Geometry-Triangles
9th Class Kpk MCQ Tests
9th Class Online Classes 2026
Updated on: 20-04-2026
9th Class Online Preparation
9th Class 2026 Online
9th Class 2026
Add a Comment
Comments will be shown after admin approval.
Spam comments will not be approved at all.
Matric Result 2026 Punjab
10th Class Result 2026 Punjab
9th Class Result 2026 Punjab Boards
10th Class Result Gazette 2026 Punjab
Punjab Past Papers Matric 9th 10th
Primary Results 5th & 8th Class
BISE Results Intermediate & Matric
BISE Punjab Boards
Sindh Educational Boards
KPK Examination Boards
Technical Boards
Public Service Commission
University Results Gruaduation, Masters Classes
Subscribe by Email
Subscribe by Email
Position Holders Matric 2026
Position Holders 9th Class 2026
Position Holders Inter 2026
Position Holders 11th Class 2026
Kpk 9th Class Math









