Chapter 6 Algebraic Manipulation Math 9th Class Kpk MCQ Tests
9th Class Math Chapter 6 MCQ Tests
Chapter 6 of 9th Class Math has 29 questions. If you take an online MCQ test, the system will randomly choose the questions. If you want to take the quiz by chapter then click the start test button.
Total Questions: 29
Total Marks: 29
Time: 30 Mins
Total Questions: 29
Total Marks: 29
Time: 30 Mins
30Min : 00 Sec Remaining
Question # 1
L.C.M and H.C.F are unique except for a factor of _________.
Question # 2
Find the H.C.F.
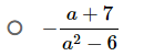
Question # 3
What rational expression should be subtracted from?
Question # 4
The sum of two numbers is 120 and their H.C.F is 12. Find the numbers.
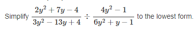
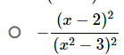
Question # 5
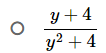
Simplify to the lowest form.
Question # 6
Find the H.C.F of:
Question # 7
Find the square root by factorization method.
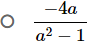
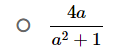
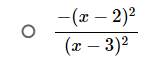
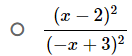
Question # 8
( x + 1 ) ( x + 2 ) ( x + 3 ) is the square root of _____.
Question # 9
question.
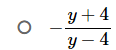
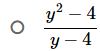
Question # 10
x 2 - 4 = ?
Question # 11
Solve the:
Question # 12
Use Factorization to find the square root of an algebraic expression 4x2 -12x + 9.
Question # 13
Find the H.C.F by factorization.
Question # 14
Use division method to find the square root of:
Question # 15
The sum of two numbers is 120 and their H.C.F. is 12 . Find the numbers.
Question # 16
L.C.M X H.C.F = ?
Question # 17
If two or more algebraic expressions are given, then their common factor of highest power is called the __________ of the expressions.
Question # 18
By Division method, we first write the algebraic expression in _________ Of power of x.
Question # 19
Find the H.C.F of 39x7y3z and 91x5y6z7 _________.
Question # 20
The square root of m2 - 4m + 4 is ____________.
Question # 21
What should be added to make it a perfect square?
Question # 22
The sum of two numbers is 156 and their HCF is 13 . The number of such number pairs is:
Question # 23
We can find H.C.F of given expressions by the following two methods.
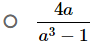
Question # 24
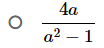
Simplify
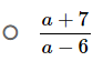
Question # 25
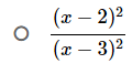
Simplify the :
Question # 26
Square root of 169 = ?
Question # 27
AS 5
Question # 28
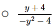
Simplify:
Question # 29
Find the value of l and m for which will become a perfect square.
Total Questions
1234567891011121314151617181920212223242526272829
Question # 1
L.C.M and H.C.F are unique except for a factor of _________.
Question # 2
Find the H.C.F.
Question # 3
What rational expression should be subtracted from?
Question # 4
The sum of two numbers is 120 and their H.C.F is 12. Find the numbers.
Question # 5
Simplify to the lowest form.
Question # 6
Find the H.C.F of:
Question # 7
Find the square root by factorization method.
Question # 8
( x + 1 ) ( x + 2 ) ( x + 3 ) is the square root of _____.
Question # 9
question.
Question # 10
x 2 - 4 = ?
Question # 11
Solve the:
Question # 12
Use Factorization to find the square root of an algebraic expression 4x2 -12x + 9.
Question # 13
Find the H.C.F by factorization.
Question # 14
Use division method to find the square root of:
Question # 15
The sum of two numbers is 120 and their H.C.F. is 12 . Find the numbers.
Question # 16
L.C.M X H.C.F = ?
Question # 17
If two or more algebraic expressions are given, then their common factor of highest power is called the __________ of the expressions.
Question # 18
By Division method, we first write the algebraic expression in _________ Of power of x.
Question # 19
Find the H.C.F of 39x7y3z and 91x5y6z7 _________.
Question # 20
The square root of m2 - 4m + 4 is ____________.
Question # 21
What should be added to make it a perfect square?
Question # 22
The sum of two numbers is 156 and their HCF is 13 . The number of such number pairs is:
Question # 23
We can find H.C.F of given expressions by the following two methods.
Question # 24
Simplify
Question # 25
Simplify the :
Question # 26
Square root of 169 = ?
Question # 27
AS 5
Question # 28
Simplify:
Question # 29
Find the value of l and m for which will become a perfect square.
Total Questions
1234567891011121314151617181920212223242526272829
Math MCQ Test by Topics
- +6.1 Highest Common Factor & Least Common Multiple
- +6.2 Basic Operations on Algebraic Fractions
- +6.3 Square Root of Algebraic Expressions
Math
- 1. Matrices and Determinants
- Real and Complex Numbers
- Logarithms
- Algebraic Expressions and Algebraic Formulas
- Factorization
- Algebraic Manipulation
- Linear Equations and Inequalities
- Linear Graphs Their Applications
- Introduction to Coordinate Geometry
- Descriptive Geometry Congruent Triangles
- Parallelograms and Triangles
- Line Bisectors and Angle Bisectors
- Sides and Angles of a Triangle
- Ratio and Proportion
- Pythagoras Theorem
- Theorems Related with Area
- Practical Geometry-Triangles
9th Class Kpk MCQ Tests
9th Class Online Classes 2026
Updated on: 20-04-2026
9th Class Online Preparation
9th Class 2026 Online
9th Class 2026
Add a Comment
Comments will be shown after admin approval.
Spam comments will not be approved at all.
Matric Result 2026 Punjab
10th Class Result 2026 Punjab
9th Class Result 2026 Punjab Boards
10th Class Result Gazette 2026 Punjab
Punjab Past Papers Matric 9th 10th
Primary Results 5th & 8th Class
BISE Results Intermediate & Matric
BISE Punjab Boards
Sindh Educational Boards
KPK Examination Boards
Technical Boards
Public Service Commission
University Results Gruaduation, Masters Classes
Subscribe by Email
Subscribe by Email
Position Holders Matric 2026
Position Holders 9th Class 2026
Position Holders Inter 2026
Position Holders 11th Class 2026
Kpk 9th Class Math









