Chapter 2 Real And Complex Numbers Math 9th Class Punjab Short Questions
سوال نمبر 1 - حقیقی اعداد کے سیٹ کی تعریف کریں.
جواب نمبر 1 - ناطق اور غیر ناطق اعداد کے سیٹ کو یونین حقیقی اعداد کا سیٹ کہلاتا ہے. اسے R سے ظاہر کیا جاتا ہے.
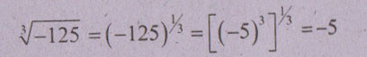
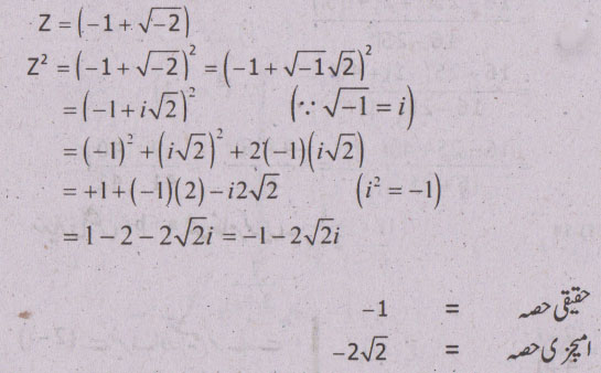
سوال نمبر 2 - 

جواب نمبر 2 - 

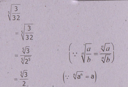
سوال نمبر 3 - ریڈیکل اور ریڈیکنڈ کا تصور مختصر طور پر بیان کریں.
جواب نمبر 3 - اگر N ایک مثبت صیح عدد ہو جو صیح عدد 1 سے بڑا ہوتو ایک حقیقی نمبر x جو حقیقی نمبر a کا n واں روٹ ریڈیکل کہلاتا ہے. حقیقی نمبر 2 ریڈیکنڈ یا ریڈیکل کی بنیاد کہلاتا ہے.
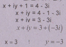
سوال نمبر 4 - 

جواب نمبر 4 - 

سوال نمبر 5 - مکمل عدد کی تعریف کریں.
جواب نمبر 5 - اگر سیٹ N یعنی قدرتی اعداد کا سیٹ میں نمبر 0 شامل کیا جائے تو سیٹ {.....W={0,1,2,3 مکمل اعداد کا سیٹ کہلاتا ہے. اسے W سے ظاہر کیا جاتا ہے.
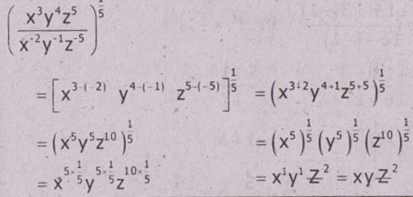
سوال نمبر 6 - 

جواب نمبر 6 - 

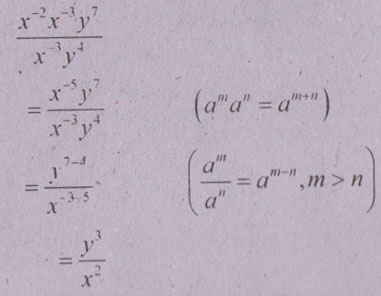
سوال نمبر 7 - 

جواب نمبر 7 - 

سوال نمبر 8 - 

جواب نمبر 8 - 

سوال نمبر 9 - ضربی ذاتی عنصر کی تعریف کریں.
جواب نمبر 9 - ضربی ذاتی عنصر: حقیقی اعداد کا سیٹ R میں ایک اور صرف ایک ہی حقیقی عدد 1 موجود ہے جو ضربی ذاتی عنصر کہلاتا ہے.
سوال نمبر 10 - 

جواب نمبر 10 - 

سوال نمبر 11 - اختتام پزیر اعشاری ناطق اعداد کی تعریف کریں.
جواب نمبر 11 - ایسے اعشاری اعداد جن کے اعشاری حصے میں محدود تعداد میں ہندسے ہوں اختتام پزیر اعشاری ناطق اعداد کہلاتے ہیں.
سوال نمبر 12 - 

جواب نمبر 12 - 

سوال نمبر 13 - 

جواب نمبر 13 - 

سوال نمبر 14 - جمعی ذاتی عنصر سے کیا مراد ہے؟
جواب نمبر 14 - جمعی ذاتی عنصر: حقیقی اعداد کے سیٹ R میں ایک اور صرف ایک رکن 0 موجود ہے جو جمعی ذاتی عنصر کہلاتا ہے.
سوال نمبر 15 - 

جواب نمبر 15 - 

سوال نمبر 16 - 

جواب نمبر 16 - 

سوال نمبر 17 - 

جواب نمبر 17 - 

سوال نمبر 18 - 

جواب نمبر 18 - 

سوال نمبر 19 - ناطق اعداد کی تعریف کیجیے.
جواب نمبر 19 - ایسے اعداد جو p/q کی شکل میں لکھے جاسکیں جبکہ p اور q دونوں صیح اعداد ہوں اور q ≠ 0 ناطق اعداد کہلاتے ہیں . تمام ناطق اعداد کے سیٹ کو q سے ظاہر کرتے ہیں.
سوال نمبر 20 - 

جواب نمبر 20 - 

سوال نمبر 21 - 

جواب نمبر 21 - 

سوال نمبر 22 - 

جواب نمبر 22 - 

سوال نمبر 23 - 

جواب نمبر 23 - 

سوال نمبر 24 - 

جواب نمبر 24 - 

سوال نمبر 25 - 

جواب نمبر 25 - 

سوال نمبر 26 - 

جواب نمبر 26 - 

سوال نمبر 27 - 

جواب نمبر 27 - 

سوال نمبر 28 - 

جواب نمبر 28 - 

سوال نمبر 29 - 

جواب نمبر 29 - 

سوال نمبر 30 - 

جواب نمبر 30 - 

سوال نمبر 31 - 

جواب نمبر 31 - 

سوال نمبر 32 - 

جواب نمبر 32 - 

سوال نمبر 33 - 

جواب نمبر 33 - 

سوال نمبر 34 - 

جواب نمبر 34 - 

سوال نمبر 35 - 

جواب نمبر 35 - 

سوال نمبر 36 - 

جواب نمبر 36 - 

سوال نمبر 37 - صیحع اعداد کی تعریف کریں؟
جواب نمبر 37 - سیٹ {....Z={…..,-3,-2,-1,0,1,2,3بشمول مثبت قدرتی اعداد منفی قدرتی اعداد منفی قدرتی اعداد اور 0 صیحع اعداد کا سیٹ کہلاتا ہے-اسے Z سے ظاہر کیا جاتا ہے.
سوال نمبر 38 - 

جواب نمبر 38 - 

سوال نمبر 39 - 

جواب نمبر 39 - 

Previous Question
1-39
Next Question
Math
- Matrices and Determinants
- Real and Complex Numbers
- Logarithms
- Algebraic Expressions and Algebraic Formulas
- Factorization
- Algebraic Manipulation
- Linear Equations and Inequalities
- Linear Graphs & their Application
- Introduction to Coordinate Geometry
- Congruent Triangles
- Parallelograms and Triangles
- Line Bisectors and Angle Bisectors
- Sides and Angles of a Triangle
- Ratio and Proportion
- Pythagoras’ Theorem
- Theorems Related with Area
- Practical Geometry - Triangles
- Matrices and Determinants
- Real and Complex Numbers
- Logarithms
- Algebraic Expressions and Algebraic Formulas
- Factorization
- Algebraic Manipulation
- Linear Equations and Inequalities
- Linear Graphs & their Application
- Introduction to Coordinate Geometry
- Congruent Triangles
- Parallelograms and Triangles
- Line Bisectors and Angle Bisectors
- Sides and Angles of a Triangle
- Ratio and Proportion
- Pythagoras’ Theorem
- Theorems Related with Area
- Practical Geometry - Triangles
9th Class Online Classes 2026
Updated on: 20-04-2026
9th Class Online Preparation
9th Class 2026 Online
9th Class 2026
Add a Comment
Comments will be shown after admin approval.
Spam comments will not be approved at all.
Matric Result 2026 Punjab
10th Class Result 2026 Punjab
9th Class Result 2026 Punjab Boards
10th Class Result Gazette 2026 Punjab
Punjab Past Papers Matric 9th 10th
Primary Results 5th & 8th Class
BISE Results Intermediate & Matric
BISE Punjab Boards
Sindh Educational Boards
KPK Examination Boards
Technical Boards
Public Service Commission
University Results Gruaduation, Masters Classes
Subscribe by Email
Subscribe by Email
Position Holders Matric 2026
Position Holders 9th Class 2026
Position Holders Inter 2026
Position Holders 11th Class 2026









