Chapter 9 Introduction To Coordinate Geometry Math 9th Class Punjab Short Questions
سوال نمبر 1 - 
جواب نمبر 1 - 
سوال نمبر 2 - 
جواب نمبر 2 - 
سوال نمبر 3 - کولینیئر نقاط کی تعریف کریں.
جواب نمبر 3 - کولینیئر نقاط: ایسے نقاط کا سیٹ جو ایک خط پریا لائن ہوں کولینیئر نقاط کہلاتے ہیں.
سوال نمبر 4 - مثلث کے اضلاع کی لمبائیوں کے لحاظ سے اس کی مختلف اقسام کے نام لکھیں .
جواب نمبر 4 - 1.مختلف الا ضلاع مثلث 2.مساوی الساقین مثلث 3.مساوی الاضلاع مثلث
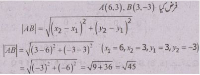
سوال نمبر 5 - 
جواب نمبر 5 - 
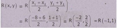
سوال نمبر 6 - 
جواب نمبر 6 - 
سوال نمبر 7 - مربع کی تعریف کریں.
جواب نمبر 7 - مستوی میں مربع ایک ایسی بند شکل ہے جو چار خط غیر ہم خط نقاط سے بنتی ہے اس کے چاروں اضلاع کی لمبائی برابر اور ہر زاویہ 90 ڈگری کا ہوتا ہے.
سوال نمبر 8 - 
جواب نمبر 8 - 
سوال نمبر 9 - مساوی اضلاع مثلث کی تعریف کریں.
جواب نمبر 9 - اگر دی ہوئی مثلث کے تینوں اضلاع لمبائی میں برابر ہوں تو مثلث مساوی اضلاع کہلاتی ہے.
سوال نمبر 10 - مستوی میں ہم خط یا غیر ہم خط نقاط کی تعریف کریں.
جواب نمبر 10 - ہم خط نقاط: دو یا دو سے زیادہ نقاط جو ایک ہی خط پر واقع ہوں ہم خط کہلاتے ہیں.
سوال نمبر 11 - 
جواب نمبر 11 - 
سوال نمبر 12 - 
جواب نمبر 12 - 
سوال نمبر 13 - مثلث کی تعریف کریں.
جواب نمبر 13 - مستوی میں مثلث ایک ایسی بند شکل ہے.جو تین غیر اہم نقاط کو ملانے سے بنتی ہے.
سوال نمبر 14 - مثاوی الساقین مثلث کی تعریف کریں.
جواب نمبر 14 - ایک مساوی الساقین مثلث ABC ایسی مثلث ہے جس کے دو اضلاع کی لمبائی برابر جبکہ تیسرے ضلع کی لمبائی مختلف ہو.
سوال نمبر 15 - 
جواب نمبر 15 - 
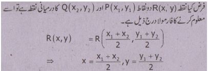
سوال نمبر 16 - فاصلہ فارمولا اور درمیانی نقطہ فارمولا بیان کریں.
جواب نمبر 16 - 
سوال نمبر 17 - 
جواب نمبر 17 - 
سوال نمبر 18 - 
جواب نمبر 18 - 
سوال نمبر 19 - غیر ہم لائن نقاط کی تعریف کریں.
جواب نمبر 19 - مستوی میں واقع تین یا تین سے زیادہ نقاط غیر اہم لائن کہلاتے ہیں.اگر ایسی کوئی ایک لائن کھینچنا ناممکن ہو جس پر یہ تمام نقاط ایک ساتھ واقع ہوں.
سوال نمبر 20 - کوارڈینیٹ جیومیٹری کی تعریف کریں.
جواب نمبر 20 - کوارڈینیٹ جیومیٹری:کارتیسی مستوی میں جیومیٹری کی اشکال کے مطالعہ کو کوآرڈینیٹ جیومیٹری کہتے ہیں.
سوال نمبر 21 - قائمہ الزاویہ مثلث کی تعریف کریں.
جواب نمبر 21 - ایسی مثلث جس کے اندرونی زاویوں میں سے ایک زاویہ 90 ڈگری کا ہو قائمہ الزاویہ مثلث کہلائے گی.
سوال نمبر 22 - مختلف الاضلاع مثلث کی تعریف کریں.
جواب نمبر 22 - ایک مثلث مختلف الاضلاع مثلث کہلاتی ہے-اگر اس کے تینوں اضلاع کی لمبائی ایک دوسرے سے مختلف ہو.
سوال نمبر 23 - دو نقاط کا درمیانی نقطہ معلوم کرنے کا فارمولا لکھیں.
جواب نمبر 23 - 
سوال نمبر 24 - 
جواب نمبر 24 - 
سوال نمبر 25 - 
جواب نمبر 25 - 
سوال نمبر 26 - مستطیل کی تعریف کریں.
جواب نمبر 26 - مستوی میں ایک ایسی بند شکل جو چار غیرہم نقاط سے بنتی ہے. مستطیل کہلاتی ہے.اگر اس کے 1.آمنے سامنے کے اضلاع لمبائی میں برابر ہوں 2.آمنے سامنے کے اضلاع متوازی ہوں. 3.ہر کونے پر 90 ڈگری کا زاویہ ہو.
Previous Question
1-26
Next Question
Math
- Matrices and Determinants
- Real and Complex Numbers
- Logarithms
- Algebraic Expressions and Algebraic Formulas
- Factorization
- Algebraic Manipulation
- Linear Equations and Inequalities
- Linear Graphs & their Application
- Introduction to Coordinate Geometry
- Congruent Triangles
- Parallelograms and Triangles
- Line Bisectors and Angle Bisectors
- Sides and Angles of a Triangle
- Ratio and Proportion
- Pythagoras’ Theorem
- Theorems Related with Area
- Practical Geometry - Triangles
- Matrices and Determinants
- Real and Complex Numbers
- Logarithms
- Algebraic Expressions and Algebraic Formulas
- Factorization
- Algebraic Manipulation
- Linear Equations and Inequalities
- Linear Graphs & their Application
- Introduction to Coordinate Geometry
- Congruent Triangles
- Parallelograms and Triangles
- Line Bisectors and Angle Bisectors
- Sides and Angles of a Triangle
- Ratio and Proportion
- Pythagoras’ Theorem
- Theorems Related with Area
- Practical Geometry - Triangles
9th Class Online Classes 2026
Updated on: 20-04-2026
9th Class Online Preparation
9th Class 2026 Online
9th Class 2026
Add a Comment
Comments will be shown after admin approval.
Spam comments will not be approved at all.
Matric Result 2026 Punjab
10th Class Result 2026 Punjab
9th Class Result 2026 Punjab Boards
10th Class Result Gazette 2026 Punjab
Punjab Past Papers Matric 9th 10th
Primary Results 5th & 8th Class
BISE Results Intermediate & Matric
BISE Punjab Boards
Sindh Educational Boards
KPK Examination Boards
Technical Boards
Public Service Commission
University Results Gruaduation, Masters Classes
Subscribe by Email
Subscribe by Email
Position Holders Matric 2026
Position Holders 9th Class 2026
Position Holders Inter 2026
Position Holders 11th Class 2026









