Chapter 6 Algebraic Manipulation Math 9th Class Punjab Short Questions
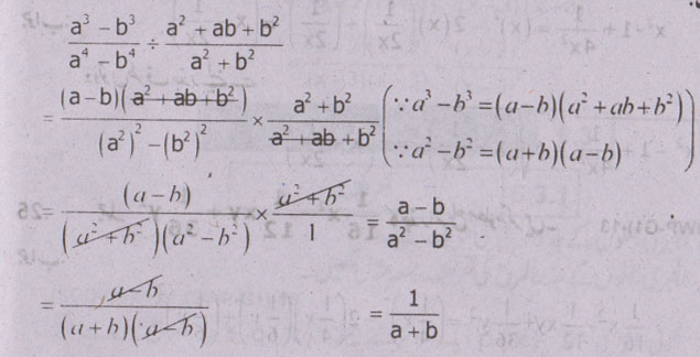
سوال نمبر 1 - 

جواب نمبر 1 - 

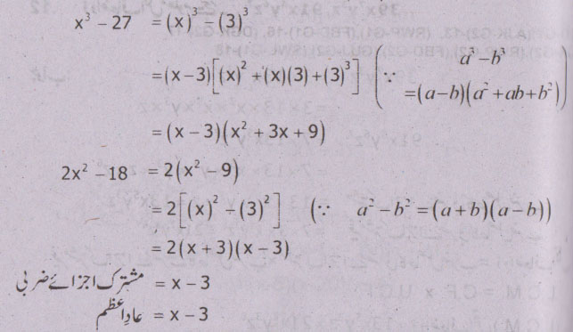
سوال نمبر 2 - 

جواب نمبر 2 - 

سوال نمبر 3 - زواضعاف اقل معلوم کریں.
جواب نمبر 3 - 

سوال نمبر 4 - 

جواب نمبر 4 - 

سوال نمبر 5 - 

جواب نمبر 5 - 

سوال نمبر 6 - 

جواب نمبر 6 - 

سوال نمبر 7 - 

جواب نمبر 7 - 

سوال نمبر 8 - 

جواب نمبر 8 - 

سوال نمبر 9 - 

جواب نمبر 9 - 

سوال نمبر 10 - 

جواب نمبر 10 - 

سوال نمبر 11 - 

جواب نمبر 11 - 

سوال نمبر 12 - 

جواب نمبر 12 - 

سوال نمبر 13 - 

جواب نمبر 13 - 

سوال نمبر 14 - 

جواب نمبر 14 - 

سوال نمبر 15 - 

جواب نمبر 15 - 

سوال نمبر 16 - 

جواب نمبر 16 - 

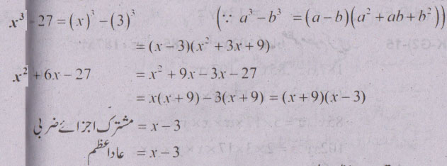
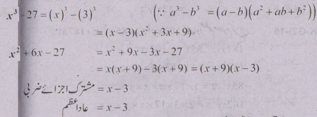
سوال نمبر 17 - عاد اعظم کی تعریف کریں.
جواب نمبر 17 - اگر دو یا دو سے زیادہ الجبری جملے دیے گئے ہوں تو ان کے مشترک اجزائے ضربی کی بڑی سے بڑی قوت کو دیے ہوئے جملوں کا عاد اعظم کہا جاتا ہے.
سوال نمبر 18 - 

جواب نمبر 18 - 

سوال نمبر 19 - 

جواب نمبر 19 - 

سوال نمبر 20 - 

جواب نمبر 20 - 

سوال نمبر 21 - 

جواب نمبر 21 - 

سوال نمبر 22 - 

جواب نمبر 22 - 

سوال نمبر 23 - 

جواب نمبر 23 - 

سوال نمبر 24 - 

جواب نمبر 24 - 

سوال نمبر 25 - دو اضعاف کی تعریف کریں.
جواب نمبر 25 - ایک الجبری جملہ (P(x اگر دیے ہوئے دو یا دو سے زیادہ جملوں سے پورا تقسیم ہوتا ہو اور اُن کے مشترک اور غیر مشترک اجزائے ضربی کا چھوٹے سے چھوٹا حاصل ضرب ہوتو (P(x ان جملوں کا دو اضعاف اقل کہلاتا ہے.
سوال نمبر 26 - 

جواب نمبر 26 - 

سوال نمبر 27 - 

جواب نمبر 27 - 

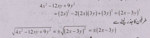
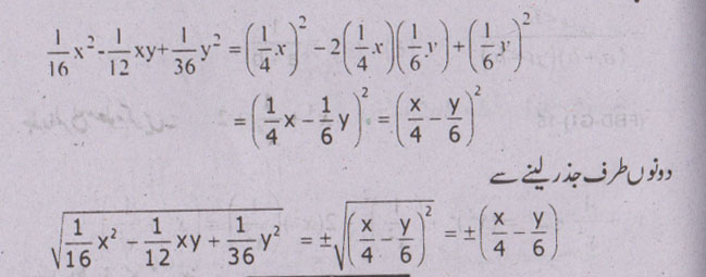
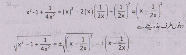
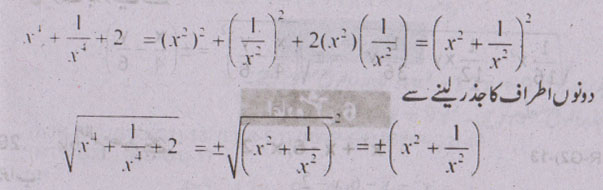
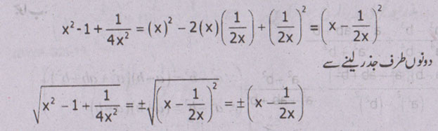
سوال نمبر 28 - الجبری جملوں کے جذرالجمربع کی تعریف کیجیًے.
جواب نمبر 28 - 

سوال نمبر 29 - 

جواب نمبر 29 - 

سوال نمبر 30 - 

جواب نمبر 30 - 

سوال نمبر 31 - 

جواب نمبر 31 - 

سوال نمبر 32 - 

جواب نمبر 32 - 

سوال نمبر 33 - 

جواب نمبر 33 - 

سوال نمبر 34 - 

جواب نمبر 34 - 

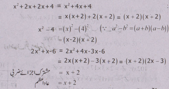
سوال نمبر 35 - بذریعہ تجزی ذواضعاف اقل معلوم کرنے کا عملی قانون لکھیں.
جواب نمبر 35 - دیے ہوئے الجبری جملوں کا ذواضعاف اقل معلوم کرنے کا عملی قانون. 1. دیے ہوئے جملوں کی سادہ ترین حد تک مکمل تجزی کریں. 2. ذواضعاف اقل چونکہ ہر جملہ کے اجزائے ضربی کا حاصل ضرب ہوتا ہے. اس میں اجزائے ضربی کی قوت نمائی کا خیال رکھا جاتا ہے.
Previous Question
1-35
Next Question
Math
- Matrices and Determinants
- Real and Complex Numbers
- Logarithms
- Algebraic Expressions and Algebraic Formulas
- Factorization
- Algebraic Manipulation
- Linear Equations and Inequalities
- Linear Graphs & their Application
- Introduction to Coordinate Geometry
- Congruent Triangles
- Parallelograms and Triangles
- Line Bisectors and Angle Bisectors
- Sides and Angles of a Triangle
- Ratio and Proportion
- Pythagoras’ Theorem
- Theorems Related with Area
- Practical Geometry - Triangles
- Matrices and Determinants
- Real and Complex Numbers
- Logarithms
- Algebraic Expressions and Algebraic Formulas
- Factorization
- Algebraic Manipulation
- Linear Equations and Inequalities
- Linear Graphs & their Application
- Introduction to Coordinate Geometry
- Congruent Triangles
- Parallelograms and Triangles
- Line Bisectors and Angle Bisectors
- Sides and Angles of a Triangle
- Ratio and Proportion
- Pythagoras’ Theorem
- Theorems Related with Area
- Practical Geometry - Triangles
9th Class Online Classes 2026
Updated on: 20-04-2026
9th Class Online Preparation
9th Class 2026 Online
9th Class 2026
Add a Comment
Comments will be shown after admin approval.
Spam comments will not be approved at all.
Matric Result 2026 Punjab
10th Class Result 2026 Punjab
9th Class Result 2026 Punjab Boards
10th Class Result Gazette 2026 Punjab
Punjab Past Papers Matric 9th 10th
Primary Results 5th & 8th Class
BISE Results Intermediate & Matric
BISE Punjab Boards
Sindh Educational Boards
KPK Examination Boards
Technical Boards
Public Service Commission
University Results Gruaduation, Masters Classes
Subscribe by Email
Subscribe by Email
Position Holders Matric 2026
Position Holders 9th Class 2026
Position Holders Inter 2026
Position Holders 11th Class 2026









