Chapter 5 Factorization Math 9th Class Punjab Short Questions
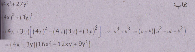
سوال نمبر 1 - 

جواب نمبر 1 - 

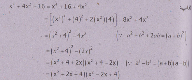
سوال نمبر 2 - 

جواب نمبر 2 - 

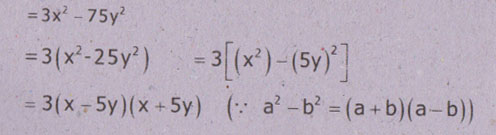
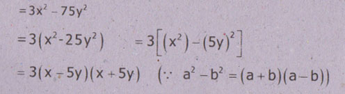
سوال نمبر 3 - 

جواب نمبر 3 - 

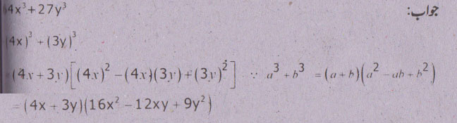
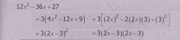
سوال نمبر 4 - 

جواب نمبر 4 - 

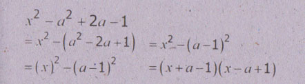
سوال نمبر 5 - 

جواب نمبر 5 - 

سوال نمبر 6 - کثیر رقمی جملے کے زیرو کی تعریف کریں.
جواب نمبر 6 - اگر کسی کثیر رقمی جملے (P(x میں متغیرx کی جگہ ایک مخصوص نمبر a درج کرنے سے p(a)=0 حاصل ہوتو x=a کو کثیر رقمی (P(x کا زیرو کہتے ہیں.
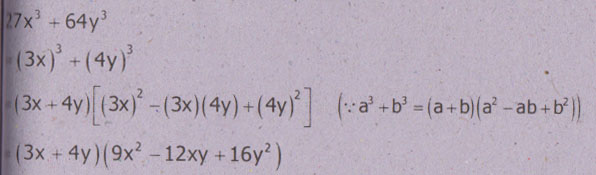
سوال نمبر 7 - 

جواب نمبر 7 - 

سوال نمبر 8 - مسئلہ باقی کی تعریف کریں.
جواب نمبر 8 - اگر کسی کثیر رقمی (P(x کو کسی خطی تقسیم کنندہ (x-a) سے تقسیم کیا جائے تو باقی (P(a ہوگا.
سوال نمبر 9 - 

جواب نمبر 9 - 

سوال نمبر 10 - 

جواب نمبر 10 - 

سوال نمبر 11 - 

جواب نمبر 11 - 

سوال نمبر 12 - 

جواب نمبر 12 - 

سوال نمبر 13 - 

جواب نمبر 13 - 

سوال نمبر 14 - 

جواب نمبر 14 - 

سوال نمبر 15 - 

جواب نمبر 15 - 

سوال نمبر 16 - 

جواب نمبر 16 - 

سوال نمبر 17 - 

جواب نمبر 17 - 

سوال نمبر 18 - 

جواب نمبر 18 - 

سوال نمبر 19 - 

جواب نمبر 19 - 

سوال نمبر 20 - 

جواب نمبر 20 - 

سوال نمبر 21 - 

جواب نمبر 21 - 

سوال نمبر 22 - 

جواب نمبر 22 - 

سوال نمبر 23 - 

جواب نمبر 23 - 

سوال نمبر 24 - 

جواب نمبر 24 - 

سوال نمبر 25 - 

جواب نمبر 25 - 

سوال نمبر 26 - 

جواب نمبر 26 - 

سوال نمبر 27 - 

جواب نمبر 27 - 

سوال نمبر 28 - 

جواب نمبر 28 - 

سوال نمبر 29 - 

جواب نمبر 29 - 

سوال نمبر 30 - 

جواب نمبر 30 - 

سوال نمبر 31 - 

جواب نمبر 31 - 

سوال نمبر 32 - 

جواب نمبر 32 - 

سوال نمبر 33 - 

جواب نمبر 33 - 

سوال نمبر 34 - 

جواب نمبر 34 - 

سوال نمبر 35 - 

جواب نمبر 35 - 

سوال نمبر 36 - 

جواب نمبر 36 - 

سوال نمبر 37 - 

جواب نمبر 37 - 

سوال نمبر 38 - 

جواب نمبر 38 - 

سوال نمبر 39 - 

جواب نمبر 39 - 

Previous Question
1-39
Next Question
Math
- Matrices and Determinants
- Real and Complex Numbers
- Logarithms
- Algebraic Expressions and Algebraic Formulas
- Factorization
- Algebraic Manipulation
- Linear Equations and Inequalities
- Linear Graphs & their Application
- Introduction to Coordinate Geometry
- Congruent Triangles
- Parallelograms and Triangles
- Line Bisectors and Angle Bisectors
- Sides and Angles of a Triangle
- Ratio and Proportion
- Pythagoras’ Theorem
- Theorems Related with Area
- Practical Geometry - Triangles
- Matrices and Determinants
- Real and Complex Numbers
- Logarithms
- Algebraic Expressions and Algebraic Formulas
- Factorization
- Algebraic Manipulation
- Linear Equations and Inequalities
- Linear Graphs & their Application
- Introduction to Coordinate Geometry
- Congruent Triangles
- Parallelograms and Triangles
- Line Bisectors and Angle Bisectors
- Sides and Angles of a Triangle
- Ratio and Proportion
- Pythagoras’ Theorem
- Theorems Related with Area
- Practical Geometry - Triangles
9th Class Online Classes 2026
Updated on: 20-04-2026
9th Class Online Preparation
9th Class 2026 Online
9th Class 2026
Add a Comment
Comments will be shown after admin approval.
Spam comments will not be approved at all.
Matric Result 2026 Punjab
10th Class Result 2026 Punjab
9th Class Result 2026 Punjab Boards
10th Class Result Gazette 2026 Punjab
Punjab Past Papers Matric 9th 10th
Primary Results 5th & 8th Class
BISE Results Intermediate & Matric
BISE Punjab Boards
Sindh Educational Boards
KPK Examination Boards
Technical Boards
Public Service Commission
University Results Gruaduation, Masters Classes
Subscribe by Email
Subscribe by Email
Position Holders Matric 2026
Position Holders 9th Class 2026
Position Holders Inter 2026
Position Holders 11th Class 2026









